首页 > 投稿栏_成都地调中心
白云岩储层是碳酸盐岩领域油气勘探的重要目标。自1791年法国地质学家Deo Dolomieu在意大利北部的多洛米蒂山发现并命名白云岩后,两个多世纪中,“白云岩/石问题”(dolomite problem)一直是长期困扰地质学家和石油勘探家的世纪难题,直到现在仍然没有一个满意的答案。悬而未决的科学问题和人们对石油、天然气资源持续增长的需求,是白云石/岩被长期关注的主要原因。由于白云石的复杂性,白云石的起源很难确定,因此,在大多数情况下,白云石的起源成为研究过程中争论的核心。
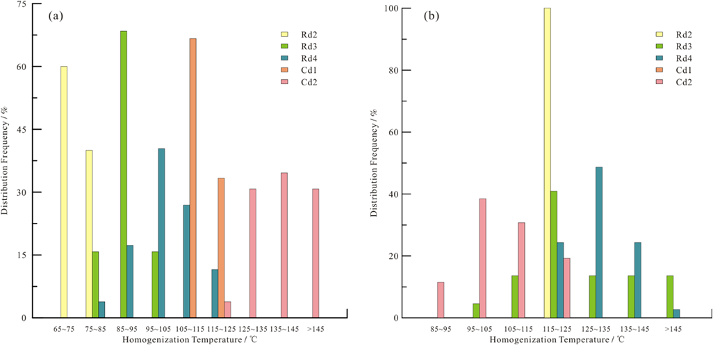
羌塘中生代海相沉积盆地是中国勘探程度最低的含油气盆地,近年来在南羌塘坳陷中侏罗系布曲组发现的白云岩古油藏为盆地油气勘探提供了新的方向。布曲组白云岩储层因是羌塘盆地油气储层整体致密背景下的优质储层而备受关注,研究者分别从沉积环境、白云岩成因、储层特征等方面对该套储层进行卓有成效的研究,其中关于白云岩成因仍存在较大的争议。争议的核心问题集中在白云石化流体来源和形成环境2个方面,白云石化流体是海水、地层囚禁的浓缩卤水、还是有大气淡水的参与,白云岩是形成于浅埋藏低温环境还是深埋藏高温环境、是正常地温梯度下的白云石化作用的产物还是异常高温热液白云石化的结果?

针对上述问题,中国地质调查局成都地质调查中心万友利博士和他所在研究组,利用剖面资料、岩心资料,通过薄片鉴定、阴极发光分析、扫描电镜观察,建立以白云石晶体结构特征(dolomite texture)为依据的白云岩/石分类方案,通过微区取样进行C-O同位素、Sr同位素分析,结合气液两相盐水包裹体测温资料,探讨布曲组白云岩的白云石化流体性质和形成温度,揭示了南羌塘坳陷古油藏带中侏罗统布曲组白云岩成因机制。结果表明古油藏带布曲组白云岩经历了准同生、浅埋藏、中—深埋藏以及热液等多期白云石化作用的叠加,准同生阶段和埋藏阶段的白云石化流体为同期海源流体,79.03Ma的构造事件(后造山期的垮塌或拆沉)驱动并加热的布曲组及上下相邻碎屑岩地层中囚禁的海源流体对先期白云岩进行改造,并在缝、洞中形成鞍形白云石胶结物,该期热液活动对布曲组先期白云岩的氧同位素组成影响甚大。


相关研究成果得到国家自然科学青年基金《白云石化过程中孔隙形成与保存机制研究——以南羌塘坳陷布曲组白云岩为例》(No.41902138)项目的资助。研究成果发表于国际学术期刊Frontiers in Earth Science。
论文链接:

主办:中国地质调查局成都地质调查中心(西南地质科技创新中心) 技术支持:成都地质调查中心信息化室 |
|
地址:成都市天府新区科学城北路东段2211号 邮编:610218 电话:028-66677233 |
|
实验室:028-66677495 E-mail:cdcgs@mail.cgs.gov.cn |
|
| 网站标识码bm16000002 京ICP备2020044568号 | |